pdf

To copy an example to your current working directory, use the command cmi copy <example-name>.

Available Examples

  • ch03NiModelling

  • ch05Fit2Phase

  • ch06RefineCrystalStructureGen

  • ch07StructuralPhaseTransitions

  • ch08NPRefinement

  • ch11ClusterXYZ

  • nanoparticle-fit

Ni PDF Fitting Tutorial

The atomic pair distribution function (PDF) provides a powerful route to understanding the local atomic structure of materials in real space. Despite its utility, PDF fitting and analysis can be challenging. The process of understand PDFs requires time, care, and the development of intuition to connect structural models to experimental data. Hopefully by the end of this tutorial series, PDF fitting will go from being a mysterious black box to a powerful tool in your structural analysis.

Example usage of diffpy.cmi can be found at this GitHub repo.

Structural parameters

Before we start fitting PDFs, lets first understand the parameters that will be refined on and what they mean. It is important to understand these parameters as they will help you gain better insight into the fitting process and how to interpret the results.

PDF Parameter

Description

Refineable?

Structural or Instrumental?

a, b, c

Lattice parameters of the crystal structure.

Yes

Structural

alpha, beta, gamma

Angles between lattice vectors

Yes

Structural

delta1

Constant (r-independent) peak broadening parameter accounting for uniform broadening of PDF peaks due to static disorder or residual instrumental effects.

Yes

Both

delta2

Correlated motion parameter accounting for r-dependent broadening (increases with r) of PDF peaks due to correlated atomic motion.

Yes

Structural

biso or Uiso

Isotropic atomic displacement parameter (ADP); models thermal vibration/disorder for each atom type. (note: biso=8*pi^2*Uiso)

Yes

Structural

uij

Anisotropic ADPs constrained by space group symmetry.

Yes

Structural

dscale

Correction factor for background or density mismatch.

Sometimes; often fixed

Instrumental

sratio

Ratio of coherent to incoherent scattering, used in some models.

Sometimes

Instrumental

Dataset parameters

PDF Parameter

Description

Refineable?

Structural or Instrumental?

scale

Overall scaling factor between calculated and observed PDFs; sets the absolute intensity.

Yes

Instrumental

qdamp

Damping of PDF peaks due to limited experimental Q-range. Typically affects high-r ripples and overall peak amplitudes.

Yes

Instrumental

qbroad

Instrumental or sample-related broadening of PDF peaks. This is due to the fact that diffraction peaks have different widths as a function of Q.

Yes

Instrumental

qmin

Minimum Q included in the fit; sets the lower bound of the fourier transform (converting S(Q) to G(r)).

No, from experiment/setup

Instrumental

qmax

Maximum Q included in the fit; sets the upper bound of the fourier transform (converting S(Q) to G(r)).

No, from experiment/setup

Instrumental

rmin

Minimum r (distance) included in the fit; sets the lower bound of the fitting range.

No, from experiment/setup

Instrumental

rmax

Maximum r (distance) included in the fit; sets the upper bound of the fitting range.

No, from experiment/setup

Instrumental (unless fitting to nanoparticles)

Bulk Ni PDF fitting

Although it is easier (and recommended) to fit PDFs of bulk homogeneous materials in PDFgui, fitting a bulk PDF in diffpy.cmi will provide you with a deeper insight into the fitting process. Additionally, this pedagogical example will help you build up confidence in using diffpy.cmi.

For bulk PDFs, we highly recommend using PDFgui. PDFgui is a great stepping stone before using diffpy.cmi. If you don’t know how to use PDFgui, please see this PDFgui tutorial to fit the same Ni PDF with PDFgui.

Data Download

To download the data and scripts for this fit, type in your command line,

cmi copy ch03NiModelling

This will copy the example directory ch03NiModelling to your current working directory. Within this directory exists data for this exercise and a script to fit the bulk Ni PDF. Below walks you through the code in the script step-by-step.

  1. To start, we must first import all necessary modules and packages.

    import matplotlib.pyplot as plt
    import numpy as np
    
    from diffpy.utils.parsers.loaddata import loadData
    from diffpy.structure import loadStructure
    from diffpy.srfit.fitbase import FitContribution, FitRecipe
    from diffpy.srfit.fitbase import Profile
    from diffpy.srfit.pdf import PDFParser, PDFGenerator
    from diffpy.structure.parsers import getParser
    from diffpy.srfit.structure import constrainAsSpaceGroup
    
  2. As a sanity check, lets load the cif and PDF data to see what they look like.

    stru_path = "~/path/to/data/Ni.cif"
    data_path = "~/path/to/data/Ni.gr"
    # Load the structure and PDF data
    structure = loadStructure(stru_path)
    pdf_data = loadData(data_path)
    print("Ni cif file:")
    print(structure)
    
    r = pdf_data[:, 0]
    g = pdf_data[:, 1]
    plt.plot(r, g, label="PDF Data")
    plt.xlabel("r (Angstrom)")
    plt.ylabel("G(r)")
    plt.title("Ni PDF Data")
    plt.legend()
    plt.show()
    
  3. Once you see the data and have a feel for it, we can begin the fitting process. We will first define the Dataset parameters and Structural parameters. These values will be used to initialize our fit. Given this data, these values are reasonable starting points.

    PDF_RMIN = 1.5
    PDF_RMAX = 50
    PDF_RSTEP = 0.01
    QMAX = 25
    QMIN = 0.1
    CUBICLAT_I = 3.52
    SCALE_I = 0.4
    UISO_I = 0.005
    DELTA2_I = 2
    QDAMP_I = 0.04
    QBROAD_I = 0.02
    
  4. Now, we will define a function called make_recipe. This function will essentially tell the fit what to do. It contains all the necessary parameters and contributions for the PDF fitting process. Because looking at a function with a lot of code is scary, here is a gist of what the function does.

    codecov-in-pr-comment
    • Parses PDF data: Given the PDF data file it extracts the Q_min and Q_max values.

    • Parses cif file: Given the cif file it extracts the structure and space group information.

    • Simulates a PDF: Given the structure, it computes a simulated PDF over predefined r-range.

    • Creates a Fit Contribution: This will hold the simulated PDF and the experimental PDF.

    • Creates a Fit Recipe: This is the main recipe that combines all contributions and parameters for the fit.

    • Refines params based on Fit Recipe: When the function is called, the parameters defined in the fit recipe are refined to best fit the data.

    def make_recipe(cif_path, dat_path):
    
        # 1. Get structural info
        p_cif = getParser('cif') # Get the parser for CIF files
        stru = p_cif.parseFile(cif_path) # Using the parser, load the structure from the CIF
        sg = p_cif.spacegroup.short_name # Get the space group to constrain the fit later on
    
        # 2. Get PDF data
        profile = Profile() # Create a Profile object to hold PDF data and metadata
        parser = PDFParser() # Create a PDFParser to get the appropriate Q_min and Q_max
        parser.parseFile(dat_path) # Parse the PDF data file
        profile.loadParsedData(parser) # Load the parsed PDF data into the profile
        profile.setCalculationRange(
            xmin=PDF_RMIN, xmax=PDF_RMAX, dx=PDF_RSTEP
        )  # Set the calculation range for the PDF fit
    
        # 3. Create a PDFGenerator to generate a simulated PDF from the structure
        genpdf = PDFGenerator("generatedPDF") # Give the generator a name
        genpdf.setStructure(stru, periodic=True) # Give the generator the structure
    
        # 4. Create a Fit Contribution object
        contribution = FitContribution("niPDFfit") # Give the contribution a name
        contribution.addProfileGenerator(genpdf) # Add the PDFGenerator to the contribution
    
        # 5. Add the Profile to the contribution
        contribution.setProfile(profile, xname="r") # Add the Profile to the contribution
    
        # 6. Set the equation used to combine the simulated PDF with the experimental PDF
        contribution.setEquation("s1*generatedPDF") # scaling factor for the simulated PDF
    
        # 7. Create a Fit Recipe which turns our physics model into a mathematical recipe
        recipe = FitRecipe()
        recipe.addContribution(contribution) # Add the contribution to the recipe
    
        # 8. Initialize the experimental parameters
        recipe.niPDFfit.generatedPDF.qdamp.value = QDAMP_I
        recipe.niPDFfit.generatedPDF.qbroad.value = QBROAD_I
        recipe.niPDFfit.generatedPDF.setQmin(QMIN)
        recipe.niPDFfit.generatedPDF.setQmax(QMAX)
    
        # 9. Add scaling factor to the recipe
        recipe.addVar(contribution.s1, value=SCALE_I, tag="scale")
    
        # 10. Add structural params to recipe, constraining them to the space group
        spacegroupparams = constrainAsSpaceGroup(genpdf.phase, sg) # Extract SG constraints
        for par in spacegroupparams.latpars: # Iterate over constrained lattice parameters
            recipe.addVar(par,
                            value=CUBICLAT_I,
                            name="fcc_lat",
                            tag="lat")
        for par in spacegroupparams.adppars: # Iterate over constrained ADPs
            recipe.addVar(par,
                            value=UISO_I,
                            fixed=False,
                            name="fcc_ADP",
                            tag="adp")
        recipe.addVar(genpdf.delta2,
                        name="Ni_Delta2",
                        value=DELTA2_I,
                        tag="d2") # Add delta2 parameter for PDF peak broadening
    
        # 11. Add instrumental Qdamp and Qbroad parameters to the recipe
        recipe.addVar(genpdf.qdamp,
                        fixed=False,
                        name="Calib_Qdamp",
                        value=QDAMP_I,
                        tag="inst")
        recipe.addVar(genpdf.qbroad,
                        fixed=False,
                        name="Calib_Qbroad",
                        value=QBROAD_I,
                        tag="inst")
        return recipe
    
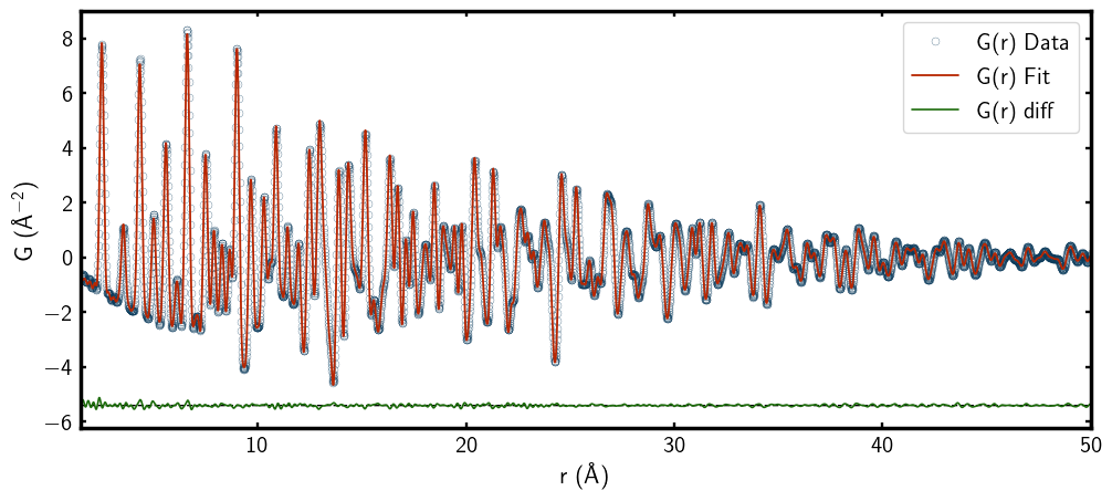
  5. Now we can call make_recipe and plot the fit, experimental, and difference curves to evaluate how well the data fit.

    recipe = make_recipe(cif_path, dat_path) # Call the function to create the fit recipe
    recipe()
    r = recipe.pdfcontrib.profile.x
    g = recipe.pdfcontrib.profile.y
    gcalc = recipe.pdfcontrib.profile.ycalc
    diffzero = -0.65 * max(g) * np.ones_like(g) # offset the difference curve
    diff = g - gcalc + diffzero
    
    plt.figure(figsize=(15, 6))
    plt.scatter(r, g, label="Experimental PDF")
    plt.plot(r, gcalc, label="Fitted PDF")
    plt.plot(r, diff, label="Difference")
    
    plt.xlabel("r (Angstrom)")
    plt.ylabel("G(r)")
    plt.title("Ni PDF Fit")
    plt.legend()
    plt.show()
    

    Once you run the above code, you should see a plot similar to the one below.

    codecov-in-pr-comment

Congratulations! You have successfully fit a bulk Ni PDF using diffpy.cmi. You are now one step closer to becoming a PDF fitting expert.